CopyRight 2009-2020 © All Rights Reserved.版权所有: 中国海关未经授权禁止复制或建立镜像
高效液相色谱法测定纸质包装材料中双酚A含量的不确定度评定
作者:宋姮 文利 喻零春 曾铭 蒋小良
宋姮 文利 喻零春 曾铭 蒋小良
摘 要 为准确评定高效液相色谱法分析纸质包装材料中双酚A含量测定的不确定度,本研究依照GB/T 34455—2017《纸、纸板和纸浆 2,2-二(4-羟基苯基)丙烷(双酚A)的测定 液相色谱法》测定纸质包装材料中双酚A含量。从配制标准溶液、纸质包装材料前处理、标准工作曲线的线性拟合、样品测试重复性等方面分析,并对各个不确定度分量进行量化,通过计算扩展不确定度和合成标准不确定度。结果表明,当纸质包装材料中双酚A含量为3.0 mg/kg时,扩展不确定度为0.1 mg/kg,双酚A含量结果可表述为(3.0±0.1)mg/kg(k = 2,P = 95%)。
关键词 高效液相色谱法;纸质包装材料;双酚A;不确定度评估
Uncertainty Evaluation for the Determination of Bisphenol A in Paper Packaging Materials by High Performance Liquid Chromatography
SONG Heng 1 WEN Li 1 YU Ling-Chun 2 ZENG Ming 2* JIANG Xiao-Liang 3
Abstract In order to evaluate the uncertainty of determining the content of bisphenol A in paper packaging materials by high performance liquid chromatography (HPLC), this study followed GB/T 34455—2017 Paper, board and pulps—Determination of 2,2-bis (4-hydroxyphenyl) propane (bisphenol A)—Liquid chromatography method. The uncertainty components arising from preparation of standard solutions, sample pretreatment of paper packaging materials, linear fitting of the calibration curve, and repeatability of the analytical measurements were systematically identified and quantified. The combined standard uncertainty and the expanded uncertainty were then calculated. At a BPA mass fraction of 3.0 mg/kg in paper packaging, the expanded uncertainty was 0.1 mg/kg. Thus, the analytical result can be reported as (3.0 ± 0.1) mg/kg (k = 2, P = 95%).
Keywords high performance liquid chromatography (HPLC); paper packaging materials; bisphenol A (BPA); uncertainty evaluation
基金项目:江门市基础与应用基础研究重点项目(江科〔2025〕81号)
第一作者:宋姮(1981—),女,汉族,湖南永州人,本科,工程师,主要从事试验室质量管理工作,E-mail: 16749109@qq.com
通信作者:曾铭(1975—),男,汉族,湖南长沙人,硕士,高级工程师,主要从事食品及食品包装材料分析检测工作,E-mail: Zengming03@163.com
1. 华测检测认证集团股份有限公司 深圳 518000
2. 广州海关技术中心 广州 510000
3. 江门海关技术中心 江门 529000
1. Centre Testing International Group Co., Ltd., Shenzhen 518000
2. Guangzhou Customs Technology Center, Guangzhou 510000
3. Jiangmen Customs Technology Center, Jiangmen 529000
双酚A(Bisphenol-A,BPA),学名2,2-二(4-羟基苯基)丙烷,广泛应用于合成环氧树脂等高分子材料[1-2]。常温下,纯的双酚A是白色晶体,可燃、难挥发,能溶于部分有机溶剂,是一种典型的内分泌干扰物[3-5]。纸质包装材料由于具有可回收循环利用、轻便、价格低廉等优点,所以越来越多的国家和地区开始重视纸质包装材料的安全[6]。一般在测试过程中需要用不确定度来评估真实值分布的范围[7-8]。为准确表达试样中双酚A的含量,本研究通过分析测试过程,依照GB/T 34455—2017《纸、纸板和纸浆 2,2-二(4-羟基苯基)丙烷(双酚A)的测定 液相色谱法》测定纸质包装材料中双酚A含量[9],找出各个影响结果的不确定度分量,给出准确表述测定的结果。
1 试验部分
1.1 仪器与试剂
高效液相色谱仪(LC-2030C 3D Plus,日本SHIMADZU公司);双功能水浴恒温振荡器(SHA-B,常州亿通分析仪器制造有限公司);电子天平(ME1002型,瑞士METTLER TOLEDO公司);超纯水系统(美国MILIPORE公司)。
双酚A标准物质(纯度≥99.0%,百灵威科技有限公司);甲醇(色谱纯,德国MERCK公司);0.22 μm有机相滤膜;纸质包装材料为当地市场购买。
流动相(V甲醇∶V水= 65∶35)配制:移取甲醇溶液65 mL于100 mL的容量瓶中,然后用水定容至刻度,充分混匀。
双酚A标准储备液(1000 mg/L)配制:准确称取25 mg(精确到0.1 mg)双酚A标准物质于100 mL棕色容量瓶中,用甲醇定容至刻度。
双酚A系列标准工作液配制:临用前,准确移取上述双酚A标准储备液,用甲醇溶液逐级稀释至质量浓度为0.05 mg/L、0.10 mg/L、0.20 mg/L、0.40 mg/L、0.60 mg/L、0.80 mg/L、1.00 mg/L的系列标准溶液,现配现用。
1.2 色谱条件
色谱柱:Shim-pack GIST C18(4.6 mm×150 mm,5.0 μm);柱温:25℃;流动相:甲醇—水(65+35);流速:1.0 mL/min;进样体积:20 μL;检测器:荧光检测器;激发波长227 nm,发射波长313 nm。
1.3 样品前处理及测试
随机选取纸质包装材料,将其剪成5 mm×5 mm的小片,然后准确称取1.00 g(精确至0.1 mg)样品,置于50 mL的锥形瓶中,加入15 mL流动相溶液作为提取溶剂,在70℃水浴恒温振荡器中提取1 h后取出,室温下放置10 min后,转至25 mL容量瓶中,用流动相定容至刻度。用0.22 μm滤膜过滤,待测,同时制备空白溶液。
2 不确定度评定
2.1 数学模型的建立
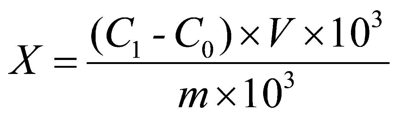
为评定纸质包装材料中双酚A的不确定度,首先要明确试样中双酚A含量的测定结果的数学模型,并根据其数学模型对不确定来源进行分析。本试验中双酚A的数学模型如计算公式(1):
(1)
式(1)中,X为试样中双酚A的含量,mg/kg;C1为从标准曲线上得到的试样双酚A浓度,mg/L;C0为从标准曲线上得到的空白试样双酚A浓度,mg/L;V为试样定容的体积,mL;m为试样的质量,g;103为换算系数。计算结果保留两位有效数字。
2.2 不确定度来源分析
根据纸质包装材料中双酚A具体的检测过程,样品称量过程、样品体积、样品测试过程以及随机效应是不确定度的主要来源。其中,分析天平是样品称量过程引入的不确定度最主要因素;样品体积主要是样品定容过程中引入的不确定度;样品测试主要为系列标准工作溶液配制,以及采用标准工作曲线方式计算试样浓度等过程;随机效应包括样品溶液定容的重复性、试验测试的重复性以及样品本身的代表性和均匀性等。不确定度分量的因果关系如图1所示[10]。

图1 不确定度分量的因果关系图
Fig.1 Causality diagram of uncertainty components
3 各不确定度分量的计算
3.1 样品称样量引入的不确定度
根据1.3所述称取1.0 g纸质食品包装材料试样进行萃取,称量样品采用万分之一电子天平,其证书给出线性分量为±0.5 mg,重复性为±0.1 mg。考虑称量范围1.0 g时的不确定度,而且称量次数为2次,按均匀分布转化为标准不确定度分别为
0.14 mg,重复性标准不确定度为0.1 mg,2项合成称量样品的标准不确定计算如公式(2)所示。
= 0.17 mg (2)
则相对标准不确定度计算如公式(3)所示。
(3)
3.2 溶液体积引入的不确定度
试样前处理过程中,加入提取液需要使用25 mL移液管,其允差依据校准证书得到,按均匀分布,得到相对标准不确定度
= 0.00385,见表1。
3.3 标准曲线线性拟合引入的不确定度
用高效液相色谱仪测定标准系列溶液,每个浓度测3次,结果见表2。
表2 双酚A含量测定系列溶液响应值
Table 2 Series solution response values of BPA determination
序号 | (mg/L) | 响应值 | |||
1 | 2 | 3 | 平均值 | ||
8 | 1.0 | 12477289 | 12519510 | 12500791 | 12499197 |
由表2经线性最小二乘法拟合后得回归方程及统计数据,工作曲线的线性方程Y = 12520307.2495X + 8238.77,斜率B1为12520307.2495,标准偏差为27025.0689,截距B0为8238.77,标准偏差为14212.27,残差标准偏差S为46153.27,相关系数r为0.9999。
双酚A标准工作曲线各校准点浓度的平均值
= 0.3938 mg/L;
残差标准偏差:46153.27;
浓度的方差和: 2.9166;
测得6次测试液中双酚A浓度平均值为
= 0.2008 mg/L。
则线性拟合相对标准不确定度计算如下:
(4)
= (5)
3.4 标准物质引入的不确定度
试验中使用的双酚A标准物质,其扩展不确定度为2.0%(标准物质证书提供),按照均匀分布,其相对标准不确定度计算如公式(6)所示。
(6)
3.5 温度校准引入的不确定度
试样提取温度为70℃,使用恒温水浴锅的校准证书上扩展不确定度为0.5℃,k = 2,按照均匀分布,得出其相对标准不确定度计算如公式(7)所示。
(7)
3.6 多次重复性测量引入的不确定度
对同一样品重复测定6次,得出试样中双酚A含量计算结果见表3。
表3 多次重复性计算结果
Table 3 Calculation results of repeatability measure
样品编号 | 双酚A含量 (mg/kg) | 平均值 (mg/kg) | 标准偏差 (SD) |
6 | 3.030 | 2.990 | 0.0371 |
由表3可见,标准偏差(SD)= 0.0371,则多次测量重复性相对标准不确定度为:
= (8)
3.7 计算合成不确定度
试样中双酚A的相对标准不确定度见表4。
表4 不确定度分量计算结果
Table 4 Calculation results of uncertainty components
不确定度分量 | 不确定度来源 | 不确定度 |
合成相对不确定度 | 0.0122 |
合成相对标准不确定度计算如公式(9)所示。
=0.0122 (9)
3.8 计算扩展不确定度
本试验的测量结果符合正态分布,试样中双酚A平均含量为3.0 mg/kg,则扩展不确定度为(置信概率P = 95%,置信因子k = 2),食品纸袋中双酚A含量结果表述为:X =(3.0±0.1)mg/kg(k = 2)。
4 结论
本研究从不同角度分析评估了高效液相色谱法测定纸质包装材料中双酚A含量的不确定度。样品称量过程、样品体积、样品测试过程以及随机效应是不确定度的主要来源。其中,最大的不确定度来自标准曲线线性拟合,其次是标准物质不确定度,温度校准的不确定度影响最小。因此,在测定过程中除了要严格控制试验条件和规范操作外,还要重点关注根据试样中双酚A的浓度配制从而得到适宜的工作曲线,以减少线性拟合带来的不确定度。
参考文献
[1] CAO X L, PEREZ-LOCAS C, DUFRESNE G, et al. Concentrations of bisphenol A in the composite food samples from the 2008 Canadian total diet study in Quebec City and dietary intake estimates[J]. Food Additives & Contaminants Part A, Chemistry, Analysis, Control, Exposure & Risk Assessment, 2011, 28(6): 791-798.
[2]宋业萍, 刘佳玉, 王斌. 高效液相色谱—串联质谱法测定玩具中四溴双酚A 含量的不确定度评定[J]. 山东化工, 2023, 52(4): 121-123+126.
[3]郑楚楚, 余晨曦, 陈莉莉, 等. 双酚A替代物对免疫系统影响的研究进展[J]. 毒理学杂志, 2025, 39(3): 209-214+218.
[4]赵岩, 陈娅, 刘艳, 等. 超声提取—高效液相色谱法测定热敏纸中双酚A的含量[J]. 理化检验—化学分册, 2022, 58(7): 795-797.
[5]沈婕, 乔文苹, 任晓晓. 纸质食品包装材料中化学物分析检测技术研究进展[J]. 现代食品, 2025(6): 180-182.
[6]张彦波. 我国纸质食品接触材料质量安全状况及风险评估[J]. 中国石油和化工标准与质量, 2017, 37(1): 83-85.
[7]王帅, 赵婉彤, 张盛勇. 高效液相色谱法测定纺织品中双酚A测量不确定度评定[J]. 纺织标准与质量, 2025(3): 52-56.
[8]娄迎霞, 姚婷, 朱晓静, 等. 高效液相色谱法测定饲料中金霉素的不确定度评价[J]. 饲料研究, 2021, 44(17): 89-92.
[9] GB/T 34455—2017 纸、纸板和纸浆 2,2-二(4-羟基苯基)丙烷(双酚A)的测定 液相色谱法 [S]. 北京: 中国标准出版社, 2017.
[10]金梦, 王岚, 宋阳, 等. 高效液相色谱法测定小麦粉中间苯二酚含量的不确定度评定[J]. 现代食品, 2022, 28(5): 200-203.
表1 溶液体积的不确定度
Table 1 Uncertainty of solution volume
分量 | 来源 | 允差 (mL) | 不确定度 | 量值 (mL) | 相对标准不确定度 |
甲醇—水混合液 | 移液管 | ±0.10 | 0.0578 | 15.0 | 0.00385 |