CopyRight 2009-2020 © All Rights Reserved.版权所有: 中国海关未经授权禁止复制或建立镜像
汽车用制动衬片国内外标准体系与性能验证优化研究
作者:刘志强 郑少锋 阮洁珊 王会永 张南峰
刘志强 郑少锋 阮洁珊 王会永 张南峰
刘志强 1 郑少锋 1 阮洁珊 1 王会永 2 张南峰 1 *
摘 要 本研究系统分析了汽车用制动衬片的标准体系与性能要求,对比了我国现行标准与欧盟、美国及日本等国家和地区标准的差异,并探讨了我国汽车制动衬片的进出口要求。通过对摩擦系数、耐磨性、热稳定性等关键性能指标及其影响因素的研究,指出了材料成分、温度变化等参数对制动安全的重要性,并通过实验验证对比不同材料制动衬片的性能表现,提出了新材料制动衬片的应用优势。此外,本研究结合新能源汽车需求与环保趋势,对未来制动衬片需兼顾能量回收适配性与低污染发展的方向进行展望,突出标准国际化与技术创新对行业发展的推动作用。综上,本研究通过系统构建制动衬片标准体系与性能验证优化框架,为我国制动衬片产业对接国际标准、提升安全性能、适应新能源汽车发展需求提供了参考,对推动行业高质量发展与保障行车安全具有实践意义。
关键词 汽车用制动衬片;标准;性能指标;环保
Research on the Optimization of Domestic and Foreign Standard System and Performance Verification of Automotive Brake Linings
LIU Zhi-Qiang1 ZHENG Shao-Feng1 RUAN Jie-Shan1
WANG Hui-Yong2 ZHANG Nan-Feng1*
Abstract This paper systematically analyzes the standard system and performance requirements for automotive brake linings, compares the differences between current Chinese standards and those of the European Union, the United States, Japan, and other countries and regions, and explores the import and export requirements for automotive brake linings in China. It provides an in-depth discussion on key performance indicators such as friction coefficient, wear resistance, and thermal stability, along with their influencing factors. The research highlights the importance of parameters such as material composition and temperature variations on braking safety, and experimentally validates the performance of brake linings made from different materials, emphasizing the advantages of new material applications. Furthermore, aligning with the demands of newenergy vehicles and environmental sustainability trends, the paper outlines future development directions for brake linings, which must balance adaptability to energy recovery systems and low-pollution requirements. It emphasizes the role of international standardization and technological innovation in driving industry progress. By systematically constructing a framework for optimizing standard systems and performance verification for brake linings, this research providesa reference for China’s brake lining industry to align with international standards, enhance safety performance, and meet the demands of new energy vehicle development, thereby offering practical significance for promoting high-quality industry development and ensuring road safety.
Keywords automotive brake linings; standards; performance indicators; environmental protection
基金项目:海关总署科研项目(2025HK115)
第一作者:刘志强(1987—),男,汉族,辽宁大连人,本科,工程师,主要从事机电类商品检测工作,E-mail: 250458290@qq.com
通信作者:张南峰(1979—),男,汉族,广西南宁人,博士,研究员,主要从事商品检验、仪器分析工作,E-mail: nf_zhang@126.com
1. 黄埔海关技术中心 广州 510700
2. 青岛海关技术中心 青岛 266002
1. Huangpu Customs District Technical Center, Guangzhou 510700
2. Qingdao Customs District Technology Center, Qingdao 266002
汽车制动系统作为车辆安全行驶的关键保障,其性能的优劣直接关系到驾乘人员的生命财产安全[1]。制动衬片作为制动系统的核心部件,通过与制动鼓或制动盘之间的摩擦作用,将车辆行驶的动能转化为热能,从而实现车辆减速或停止的功能[2]。制动衬片的性能不仅决定了制动效果的好坏,还直接影响车辆的制动稳定性、刹车距离以及使用寿命。因此,研究制动衬片的标准和性能,对于提升汽车制动系统的整体性能、确保行车安全具有重要意义。本文旨在通过对国内外制动衬片标准的分析,探讨其性能要求及差异,并提出优化策略,为制动衬片的技术进步和产业发展提供参考。
1 汽车用制动衬片标准研究
1.1 我国汽车用制动衬片标准
GB 5763—1986《汽车用制动器衬片》于1986年首次发布,1998年进行第一次修订(GB 5763—1998),2008年进行第二次修订,2018年进行第三次修订并全面替代2008版。2018版标准根据国内产业现状及国际先进标准,对有害物质限量和绿色环保要求进行了补充和完善,使得GB 5763—2018《汽车用制动器衬片》标准更加符合现代汽车安全与环保的需求[3]。GB/T 26738—2011《道路车辆 制动衬片摩擦材料 产品确认和质量保证》作为管理标准,等同采用ISO 15484,明确了衬片的标识、包装及储存规范。
1.2 国内外标准差异
国际标准化组织(International Organization for Standardization,ISO)、美国、欧洲和日本等主要国家和地区均制定了针对汽车用制动衬片的相关标准。欧洲执行联合国欧洲经济委员会第90号法规(ECE R90),美国遵循国际汽车工程师学会发布的SAE J661标准,日本依据日本工业标准调查会发布的JIS D4411标准。这些标准在摩擦性能、有害物质限量等关键指标上存在一定差异。在摩擦系数方面,ISO标准倾向于设定更宽泛的允许范围以适应全球化应用,而ECE R90对高温下的摩擦稳定性提出了更高要求[2]。在有害物质限量方面,GB 5763—2018与欧盟REACH法规类似,均严格限制铅、镉等有害物质的含量,但具体限值有所不同[3]。通过对比分析可以看出,国际标准在技术细节上的差异主要源于各地区的使用环境、法规政策和技术发展水平的不同。这些差异为我国标准的发展提供了重要借鉴意义,尤其是在如何平衡安全性与环保性方面,值得进一步研究和探讨[4]。
1.3 我国汽车用制动衬片进出口要求
我国对汽车用制动衬片的进出口有着严格的要求。在出口方面,产品必须符合进口国的相关标准,如美国联邦机动车安全标准(Federal Motor Vehicle Safety Standards,FMVSS)中的制动衬片标准,以及联合国欧洲经济委员会(United Nations Economic Commission for Europe,UNECE)制定的法规等[5]。此外,还需通过海关的商品检验,确保产品质量和安全性达到国际通行要求。在进口方面,我国依据GB 5763等国家标准对进口制动衬片进行检验,重点检测摩擦性能、有害物质含量等关键指标,以保障国内消费者的权益和道路行驶安全[3]。这些进出口要求不仅促进了我国制动衬片行业与国际市场的接轨,也推动了产品质量和技术的提升。
2 汽车用制动衬片性能要求及影响
2.1 摩擦系数
摩擦系数是制动衬片的重要性能指标之一,其大小直接决定了制动效果的好坏。当摩擦系数过高时,容易导致制动过程中车轮制动锁死,进而引发车辆打滑,降低行车安全性;而摩擦系数过低则会使刹车距离显著增加,同样影响行车安全[1]。此外,摩擦系数的稳定性也至关重要,尤其是在高温条件下,一些劣质衬片可能会出现摩擦系数大幅下降的现象,即热衰退,这在高速行驶或长距离下坡时尤为危险[6]。影响摩擦系数的因素众多,包括材料成分、表面粗糙度、温度以及压力等。例如,不同种类的摩擦材料因其化学组成和物理结构的不同,会表现出不同的摩擦特性。同时,随着温度的升高,摩擦材料的微观结构可能发生变化,从而导致摩擦系数的波动[1]。
2.2 耐磨性
耐磨性是评价制动衬片使用寿命的重要指标,直接影响制动系统的维护成本和使用效率。在车辆制动过程中,制动衬片与制动鼓或制动盘之间的摩擦不可避免地会导致材料磨损。若耐磨性不足,则会导致衬片过快失效,增加更换频率,甚至可能因磨损过度而引发制动失灵[7]。制动衬片在不同工况下的磨损机制存在显著差异。例如,在高温条件下,材料软化可能导致粘着磨损加剧;而在低温或潮湿环境中,腐蚀磨损可能成为主要形式[4]。此外,制动频率、载荷大小以及速度变化等因素也会对磨损率产生重要影响。研究表明,优化材料配方和改进生产工艺可以有效提升制动衬片的耐磨性,例如通过添加增强纤维或优化基体材料的硬度来减少磨损[6]。
2.3 热稳定性
在车辆制动过程中,动能通过摩擦转化为热能,导致制动衬片温度迅速升高。这种高温环境对制动衬片的性能提出了严峻挑战,特别是热稳定性成为关键因素。热稳定性不足会导致材料性能退化,进而引发热衰退现象,严重影响制动效果[7]。为防止热衰退,制动衬片需具备良好的耐热性,这通常通过选用耐高温材料或改进材料配方来实现。例如,采用陶瓷基复合材料或高性能树脂基材料可以显著提高制动衬片的热稳定性[8]。此外,制动衬片的设计和制造工艺也对其耐热性有重要影响。合理的隔热层设计可以有效延缓热量传递,从而降低摩擦材料的热稳定性[4]。研究表明,通过优化材料成分和工艺参数,可以显著改善制动衬片在高温条件下的性能表现,确保其在极端工况下仍能提供稳定的制动力[8]。
3 汽车用制动衬片性能验证及优化策略
3.1 制动衬片摩擦性能试验
3.1.1 主要仪器和设备
仪器和设备包括:制动器摩擦材料试验机,摩擦试验数显取样一体机,游标卡尺(精度0.01 mm),千分尺(精度0.001 mm)。
3.1.2 试验方法
参照GB 5763—2018中5.3.2摩擦性能拖曳实验,以及GB/T 34007—2017《道路车辆制动衬片摩擦材料摩擦性能拖曳试验方法》。
3.1.3 样品制备
对市售的陶瓷汽车制动衬片和无石棉有机汽车制动衬片两组样品按照GB 5763—2018标准要求,采用取样恒力矩法分别进行试验,每组样品各随机抽取2个衬片,从每个衬片中部各取长(40±0.2) mm、宽(30±0.2)mm,厚度不小于5.0 mm的样块,紧密嵌入在专用背板上(图1)。正式试验前,应对样块进行磨合,至样块与制动盘的接触面积不低于80%。磨合过程中制动盘表面温度不超过200℃。磨合后,测量并记录每个样块的每个测量点的厚度,精确到0.01 mm;称量并记录每个样块的质量,精确到0.01 g。试验完成后,重复测量步骤,记录样块磨损厚度、质量,计算磨损率。

图1 制动器组件
Fig.1 Brake assembly component
3.1.4 恒力矩方式试验程序
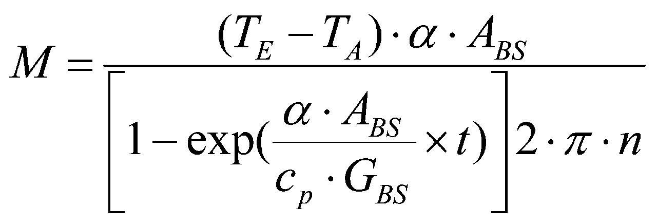
制动输出力矩(M)按公式(1)计算:
(1)
式(1)中,M为制动输出力矩,单位为N·m;TE为制动末温,单位为℃;TA为制动初温,单位为℃;α为制动盘的热传导率,单位为J/(m2·s·K);ABS为制动盘的热传导面积,单位为m2;cp为制动盘的比热容,单位为J/(N·K);GBS为制动盘的质量,单位为N;t为制动时间,单位为s;n为制动盘的转速,单位为r/min。
制动盘采用HT250的灰铸铁材质,α取值为 59.7 J/(m2·s·K),cp取值为51 J/(N·K)。
恒力矩方式试验程序见表1。
试验过程中采用在刹车盘上嵌入热电偶来实现温控和温度数据采集,如图2所示。

图2 摩擦测试制动盘
Fig.2 Friction test of brake disc
每次试验前,制动盘表面应用JB/T 7498—2018《涂附磨具 砂纸》 中粒度为P240或更细的砂纸处理,使制动盘表面无明显磨痕和锈蚀;用软布和无水乙醇除去制动盘表面的灰尘和油污。
3.1.5 结果与分析
从试验数据可以看出:不同温度工况下,陶瓷制动衬片工作摩擦系数波动更小,热稳定性更好(图3)。陶瓷制动衬片与无石棉有机制动衬片相比,陶瓷制动衬片磨损较小,耐磨性更好,因此使用寿命更长(图4)。

图3 无石棉有机制动衬片与陶瓷制动衬片摩擦系数对比
Fig.3 Comparison of friction coefficients between asbestos-free organic brake pads and ceramic brake pads
3.2 汽车用制动衬片发展和优化
3.2.1 新材料的应用
随着汽车工业的快速发展,制动衬片材料经历了从石棉基到环保型材料的深刻变革,材料科学的进步不仅提升了制动效能,也推动了行业向更安全、更环保的方向发展[9]。早期的石棉基制动衬片因健康隐患被逐步淘汰,半金属材料成为主流选择,但其生锈、噪音等问题催生了新型环保材料的研发。当前市场已形成以半金属、无石棉有机材料、粉末冶金及陶瓷材料为主的多元化格局。
各类型制动衬片在机械性能方面呈现显著差异见表2:半金属材质凭借30%~50%的金属含量,展现出优异的耐热性和导热系数,适合高速重载工况,但制动噪音大且在拐角处易脆裂;无石棉有机材料通过多种纤维混合,实现稳定摩擦系数与良好耐磨性,同时具备低噪音、不易生锈的优势,成为环保型制动衬片的代表;粉末冶金材料则以铁基或铜基粉末经高温烧结而成,使用寿命长,但价格昂贵、噪音大且易磨损;陶瓷材料凭借矿物纤维、芳纶纤维与陶瓷纤维的复合结构,展现出低导热系数、高热稳定性及优异的耐磨性,制动性能出色且热衰减低。
3.2.2 新能源汽车带来的新要求
随着新能源汽车的快速发展,其在制动能量回收及制动工况变化方面对制动衬片的标准和性能提出了新挑战[5]。新能源汽车普遍采用制动能量回收系统,这要求制动衬片在保证制动效能的同时,还需具备更高的耐久性和稳定性,以适应频繁的能量回收过程[1]。此外,由于新能源汽车的动力特性与传统燃油车不同,其制动工况更为复杂,尤其是在高速行驶和紧急制动时,对制动衬片的热稳定性和摩擦系数的要求更为严格。为应对这些挑战,未来的研究方向应集中在开发适应新能源车特殊需求的新型材料,例如具有优异耐热性和抗疲劳性能的复合材料,同时优化制动衬片的设计以提升其在多样化工况下的综合性能[1]。
3.2.3 绿色环保趋势
在绿色环保方面,制动衬片的标准和要求正逐步向减少有害物质和降低粉尘排放的方向发展。GB 5763—2018标准的实施显著降低了制动衬片中有害成分的含量,标准发布后生产的衬片有害成分不合格率大幅下降,体现了我国在制动衬片绿色环保方面的进步[3]。此外,国际标准化组织及其他主要国家和地区也在积极推进制动衬片的绿色环保标准,例如限制重金属和有机物含量,以减少对环境的污染。为实现绿色环保目标,未来的技术途径包括研发无石棉、低金属或无金属配方,以及采用新型表面处理工艺来减少制动过程中的粉尘生成。这些措施不仅有助于满足日益严格的环保法规,还能提升制动衬片的整体性能,推动行业向可持续发展方向迈进[3]。
4 结语
本研究系统梳理了国内外汽车制动衬片标准体系,重点对比了国内外标准在热稳定性、有害物质限量等关键指标的差异。通过实验验证,陶瓷制动衬片在热稳定性、耐磨性方面显著优于无石棉有机制动衬片,为新材料应用提供了实证支持。本研究提出的材料优化与工艺改进策略,可有效提升制动衬片在新能源汽车复杂工况下的综合性能,同时满足日益严格的环保要求。本文研究成果为我国制动衬片行业实现标准国际化、产品高端化提供了科学依据,对推动行业技术升级与高质量发展具有实践价值。
参考文献
[1]李莉,黄勇.汽车液压制动系统的多维度优化策略研究[J].汽车电器, 2025(10): 99-102.
[2]孙旭睿.商用车电子机械制动结构设计和紧急制动控制策略研究[D]. 青岛: 青岛科技大学, 2024.
[3]赵云霞,郭山,刁帅, 等. 汽车用制动器衬片有害成分的检测与分布[J].汽车零部件, 2022(5): 75-77.
[4]杨培娟.高性能汽车刹车片的制备及性能研究[J].内燃机与配件, 2021(23): 26-27.
[5]杨振国.汽车用制动衬片“刹车片”产业发展状况分析[J].中国品牌与防伪, 2023(5): 39-44.
[6]李天音,卢丽琴.汽车用制动器衬片试验用试片制取装置的研发——智慧建筑与智能经济建设学术研讨会论文集[C]. 重庆: 重庆建筑编辑部, 2025: 658-662.
[7]侯帅帅,曾现琛. 汽车用制动器衬片质量现状分析[J].中国标准化, 2021(10): 161-165.
[8]张小满,闰卫卫,朱词.汽车用制动器衬片取样装置的研制[J].石油石化物资采购, 2022(20): 65-67.
[9]刘倩.汽车制动片材料对制动系统安全性的影响[J].汽车测试报告, 2024(16): 59-61.
表1 M1 类车辆用盘式衬片恒力矩方式试验程序
Table 1 Test procedure for disc pad constant torque method for M1 vehicles
序号 | 制动循环个数 | 每个制动循环的制动运行次数 | 制动盘初始温度 (℃) | 制动盘最高温度 (℃) | 强制冷却 | 恒力矩 |
1 (磨合) | ≦6 | 5 | 以后为100 | 300 | 是 | M1 |
2 | 1 | 5 | ≦60 | 350 | 否 | M2 |
3 | 3 | 5 | 100 | 350 | 否 | M2 |
4 | 1 | 10 | 100 | 600 | 否 | M3 |
5 | 4 | 5 | 100 | 350 | 否 | M2 |
6 | 1 | 10 | 100 | 600 | 否 | M3 |
7 | 3 | 5 | 100 | 350 | 否 | M2 |
8 | 1 | 5 | ≦60 | 350 | 否 | M2 |
注:计算M1时, (TE-TA)取值为125℃, t 为25s; 计算M2时, (TE-TA)取值为225℃, t 为25 s; 计算M3时, (TE-TA)取值为450℃, t 为50 s; 恒力矩方式下,M1取值103 N·m, M2取值186 N·m, M3取值194 N·m.

图4 无石棉有机制动衬片与陶瓷制动衬片磨损对比
Fig.4 Wear comparison between asbestos-free organic brake linings and ceramic brake linings
表2 汽车用制动衬片材料机械性能对比
Table 2 Comparison of mechanical properties of brake liner materials for automobiles
材料 | 拉伸强度 (MPa) | 拉伸模量 (GPa) | 密度 (g/cm³) | 比强度 (kN·m/kg) | 比模量 (106m/kg) |
碳纤维材料 (CFRP) | 300~500 | 100~300 | 1.5~1.9 | 150~400 | 60.0~160.0 |
碳纤维材料 (C/C) | 300~700 | 200~400 | 1.8~2.1 | 140~250 | 90.0~190.0 |
碳纤维材料 (CMC) | 200~700 | 100~200 | 2.0~3.0 | 50~150 | 30.0~80.0 |
氧化铝 (Al2O3) | 200~400 | 300~400 | 3.9 | 50~100 | 7.7~10.3 |
碳化硅 (SiC) | 200~700 | 300~450 | 3.2~3.3 | 70~200 | 9.1~14.1 |
氮化硅 (Si3N4) | 200~900 | 200~300 | 3.1~3.3 | 80~300 | 6.1~9.7 |
纳米复合材料 (CNT/epoxy) | 60~200 | 10~50 | 1.3~1.5 | 20~150 | 6.0~35.0 |
纳米复合材料 (CF/nano-Al2O3) | 400~1200 | 100~200 | 1.9~2.1 | 150~500 | 50.0~100.0 |
纳米复合材料(Ag/epoxy) | 30~80 | 2~6 | 1.2~1.5 | 10~50 | 3.0~15.0 |
2024铝合金 | 470 | 73.1 | 2.78 | 170 | 26.3 |
304不锈钢 | 520 | 193 | 7.93 | 65.4 | 24.3 |
45号钢 | 600 | 210 | 7.85 | 76 | 26.8 |